Halo NutriPeeps si pelajar dan pejuang hidup sehat!
Kenalin aku Gizimo, maskot ceria dari NutriMatch! 🥑✨
Aku ada di sini buat bantu kalian cek kebutuhan gizi harian dengan cara yang:
Yuk, bareng aku kita hitung AKG kamu pake metode keren: Interpolasi Lagrange!
Ayo hidup sehat tanpa ribet!
Klik di bawah ini!👇
Soalnya banyak kalkulator gizi di luar sana yang cuma ngegas ke angka bulat terdekat atau umurnya dibuletin, berat badan dibuletin. Padahal tubuh kita kan nggak hidup dari pembulatan💀
Nah kalau di sini beda! Gizimo pakai ilmu pasti: Interpolasi Lagrange biar hasilnya bener-bener presisi, sesuai kamu, sesuai angka kamu, bukan angka tetangga ✨
Gizimo membangun sebuah model matematika untuk mengisi celah antara data AKG standar (titik-titik rujukan).
| Fitur | Manfaat untuk Anda |
|---|---|
| Interpolasi Lagrange | Menghasilkan kurva yang melewati semua titik data AKG rujukan. |
| Estimasi Presisi | Jika Berat Badan (BB) Anda 67,5 kg, kami tidak membulatkannya ke 60 kg atau 70 kg. Kami hitung AKG yang persis untuk 67,5 kg. |
| Personalisasi | Hasil yang Anda dapatkan adalah AKG (x) yang spesifik, di mana x adalah Berat Badan Anda. |
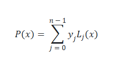
Metode ini menggunakan Polinomial Lagrange P(x) untuk menentukan nilai gizi y berdasarkan Berat Badan x Anda.
1. Rumus Polinomial Lagrange:

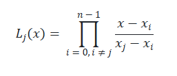
2. Rumus Basis Polinomial:

Proyek ini adalah implementasi dari pembelajaran mata kuliah Metode Numerik yang disajikan dalam bentuk aplikasi web yang siap pakai.
| Nama | NIM |
|---|---|
| Aliffia Hilva Salsabila | K1323006 |
| Fauziah Rahmawati Sholehah | K1323026 |
Proyek ini Aktif dan dikembangkan untuk tujuan edukasi dan kesehatan masyarakat.